Bolt Fastening Structure

Bolt Fastening

Parameter input

Bolt

Bolt diameter(d)



Tensile strength rank


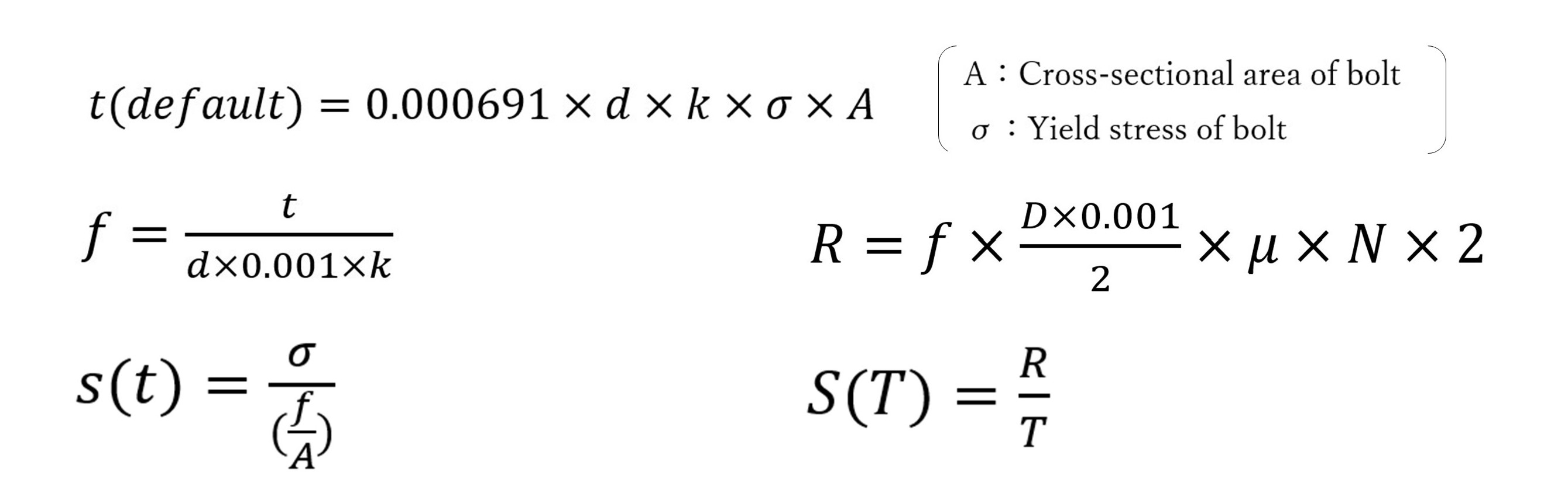
Tightening torque(t)

= N・m

Torque coefficient(k)

=

Mounting structure

P.C.D.(D)
= mm
Coefficient of friction(μ)
=
Number of bolts
=

External force

Load torque(T)
= N・m

Result

Axial force
(per a bolt) f

= N

Safety ratio against bolt destruction s(t)

=

Resistance force against Load torque R

= N・m

Safety ratio against slippage S(T)

=

Fomulas

bolt_fastening_fomulas