材料力学自动计算
光束偏转
扭力
压缩/拉伸
扣合
螺栓紧固
勘合
材料力学自动计算
光束偏转
扭力
压缩/拉伸
扣合
螺栓紧固
勘合
螺栓结构
参数输入
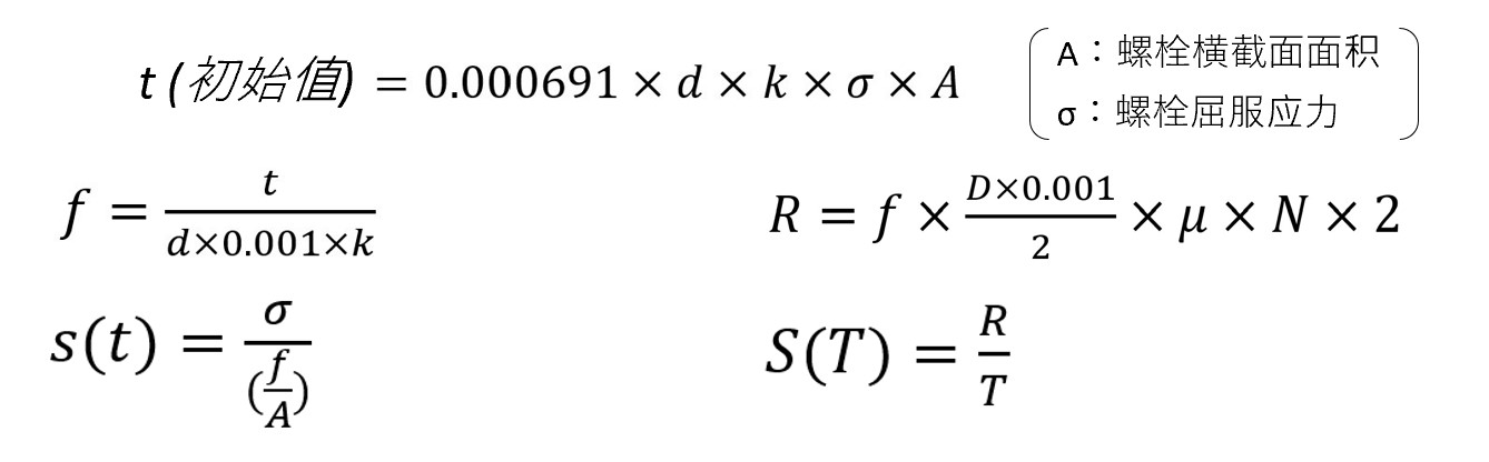
螺栓直径
螺杆直径(d)
:
--------
2
2.5
3
4
5
6
8
10
12
16
强度等级
:
--------
8.8
10.9
12.9
50
70
80
AL1(5052)(M10 or under)
AL1(5052)(M12, M16)
AL2(5056)
AL3(6061)(M6 or under)
AL3(6061)(M8 or over)
AL4(2024)(M10 or under)
AL4(2024)(M12 and M16)
AL5(N01)
AL6(7075)
Ti1
Ti2
Ti3
Ti4
TA60
TA60E
CU1
CU2(M6 or under)
CU2(M8 or over)
CU3(M6 or under)
CU3(M8 or over)
CU4(M12 or under)
CU4(M16)
CU5
CU6
CU7
拧紧力矩(t)
=
N・m
扭矩系数(k)
=
安装结构
P.C.D.(D)
=
mm
摩擦系数(μ)
=
螺栓数量
=
外部压力
负载转矩(T)
=
N・m
计算结果
螺栓轴向力 f
=
N
螺栓断裂安全系数 s(t)
=
打滑力矩 R
=
N・m
防滑安全系数 S(T)
=
Fomulas